统计211

 找回密码
 立即注册

QQ登录

只需一步,快速开始

查看: 6466|回复: 3
打印 上一主题 下一主题

组距式分组下,众数怎么定义?

[复制链接]
跳转到指定楼层
1
发表于 2014-4-16 13:25:41 | 只看该作者 回帖奖励 |倒序浏览 |阅读模式
本帖最后由 Alex_China 于 2014-4-16 13:42 编辑

这个问题我想了好久,在图书馆翻了很多课本,问了老师,上了知乎,花了很多时间,都没有答案,请前辈能认真帮我解答,小弟虚心请教。

清华大学出版社 出版的 《统计学》 教材,主编:孙XX。P76页

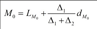
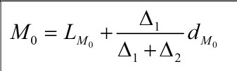
教材内容:在资料分组为组距数列时,先在组距数列中确定众数所在的组,然后再利用上下限公式计算众数。
下限公式: QQ截图20140416131606.jpg (7.04 KB, 下载次数: 0)
(上限公式类似我就不写了,下一个图片有。)
等式中: 1.jpg (1.43 KB, 下载次数: 0) 为众数组下限; 2.jpg (1.22 KB, 下载次数: 0) 为众数组次数与上一组次数之差;
               3.jpg (1.3 KB, 下载次数: 0) 为众数组次数与下一组次数之差; 4.jpg (1.52 KB, 下载次数: 0) 为众数组的组距。
例题: IMG_0038.JPG (1.21 MB, 下载次数: 0)

问:在这种组距式分组条件下,众数的定义是怎么样的?
       在例题中,10~20这个组是众数组,但是怎么能确定众数就在这个组里面呢?有可能20~30组中一个数字就出现20次啊。
       还有,既然都能分组了,就肯定有原始数据,为什么不直接用计算机找众数,要通过这样的数学     方法来算一个估计值呢?
分享到:  QQ好友和群QQ好友和群 QQ空间QQ空间 腾讯微博腾讯微博 腾讯朋友腾讯朋友
收藏收藏 转播转播 分享分享 分享淘帖 支持支持 反对反对
2
发表于 2014-4-19 08:52:26 | 只看该作者
这主要是为了介绍方法,所以才不用计算机吧。
3
发表于 2014-4-20 10:10:01 | 只看该作者
根据你提供的公式,其他组明显结果是负数,现实是不成立的。原始数据的问题,很可能统计数据者,并没有把具体的数值记下,只是在一个范围内,计数。以上的数据方式,也容易挖掘其潜在的信息。
这个只是练习题,也不是很难的那种,别纠结了。
4
 楼主| 发表于 2014-4-21 20:10:54 | 只看该作者
茯苓 发表于 2014-4-20 10:10
根据你提供的公式,其他组明显结果是负数,现实是不成立的。原始数据的问题,很可能统计数据者,并没有把具 ...

谢谢,明白了。
您需要登录后才可以回帖 登录 | 立即注册

本版积分规则


免责声明|关于我们|小黑屋|联系我们|赞助我们|统计211 ( 闽ICP备09019626号  

GMT+8, 2025-10-22 15:31 , Processed in 0.099250 second(s), 23 queries .

Powered by Discuz! X3.2

© 2001-2013 Comsenz Inc.

快速回复 返回顶部 返回列表