统计211

 找回密码
 立即注册

QQ登录

只需一步,快速开始

查看: 7673|回复: 10
打印 上一主题 下一主题

假设检验的一个问题求大家帮忙解决下

[复制链接]
跳转到指定楼层
1
发表于 2011-9-23 15:36:43 | 只看该作者 回帖奖励 |正序浏览 |阅读模式
本帖最后由 oylp1988 于 2011-9-23 22:36 编辑

有没有 什么方法可以验证一组数据在某种程度上分布在 一个比较小的 区间内?
实际情况是
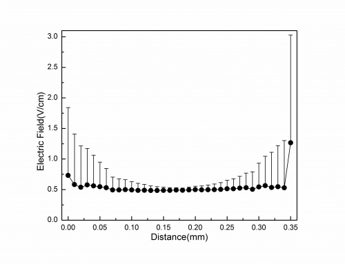
我有 一组数据 x 是 distance  y 是电场强度。 想在统计学上 验证这组数据分布在 y=0.5 左右. 希望能够计算出 相应的P值
下面有根据数据做的 x y 图。
EF plot update.jpg (338.49 KB, 下载次数: 0)

ps :  上图中 只考虑 那些黑点

点评

无图,请重新上传  发表于 2011-9-23 17:02
分享到:  QQ好友和群QQ好友和群 QQ空间QQ空间 腾讯微博腾讯微博 腾讯朋友腾讯朋友
收藏收藏 转播转播 分享分享 分享淘帖 支持支持 反对反对
11
发表于 2011-9-26 18:17:14 | 只看该作者
楼上是正解哈
10
发表于 2011-9-26 17:30:24 | 只看该作者
你的意思就是要检验一下这组数据的均值(正态)或者说中位数(非正态)是0.5,这样的话先确定分布类型,然后选择相应的检验方法就好!正态吗就是T检验了,非正态的话就选秩和检验!
9
 楼主| 发表于 2011-9-24 11:34:03 | 只看该作者
谢谢斑竹 耐心解答啊!~!~
8
 楼主| 发表于 2011-9-24 11:34:01 | 只看该作者
谢谢斑竹 耐心解答啊!~!~
7
 楼主| 发表于 2011-9-24 11:31:42 | 只看该作者
abc886y365hxg 发表于 2011-9-24 09:44
你这一说法就错了!
“证明 我的数据分布在0.5 附近这 一观点具有统计学意义”
因为你要做这个检验的话 ...

那请问这个假设的P 值怎么计算呢?
6
发表于 2011-9-24 09:44:55 | 只看该作者
oylp1988 发表于 2011-9-24 06:50
检验过 不是正态分布。   
我觉得我的问题就是  证明 我的数据分布在0.5 附近这 一观点具有统计学意义

你这一说法就错了!
“证明 我的数据分布在0.5 附近这 一观点具有统计学意义”
因为你要做这个检验的话,原假设肯定是H0:数据分布在0.5   H1:拒绝H0
按你说的具有统计学意义的话,p<0.05,即拒绝原假设H0,接受H1,认为数据不是分布在0.5附近的

点评

恩 我大概就是 怎么想的 没表达 好  发表于 2011-9-24 11:33

评分

参与人数 1统计币 +6 收起 理由
veil + 6 讨论的好好激烈

查看全部评分

5
 楼主| 发表于 2011-9-24 06:50:23 | 只看该作者
abc886y365hxg 发表于 2011-9-24 00:28
你首先还是得做正态检验;其次在符合正态分布的情况下,继续做单样本的T检验就行!OK?

检验过 不是正态分布。   
我觉得我的问题就是  证明 我的数据分布在0.5 附近这 一观点具有统计学意义

评分

参与人数 1统计币 +6 收起 理由
veil + 6 讨论激烈,^_^,回头记得把最佳答案编辑到你.

查看全部评分

4
发表于 2011-9-24 00:28:52 | 只看该作者
oylp1988 发表于 2011-9-23 21:55
谢谢 版主 回复啊  额 忘记 给图了。。。
我这个情况是 电场强度不随距离变化,然后我要验证电场强度大 ...

你首先还是得做正态检验;其次在符合正态分布的情况下,继续做单样本的T检验就行!OK?
3
 楼主| 发表于 2011-9-23 21:55:05 | 只看该作者
abc886y365hxg 发表于 2011-9-23 15:49
正态分布倒是可以用t检验比抽样样本和理论真值的差异。
电场强度似乎不是符合正态分布的吧!它是随着距离的 ...

谢谢 版主 回复啊  额 忘记 给图了。。。
我这个情况是 电场强度不随距离变化,然后我要验证电场强度大概是等于0.5
您需要登录后才可以回帖 登录 | 立即注册

本版积分规则


免责声明|关于我们|小黑屋|联系我们|赞助我们|统计211 ( 闽ICP备09019626号  

GMT+8, 2026-3-16 13:10 , Processed in 0.096906 second(s), 27 queries .

Powered by Discuz! X3.2

© 2001-2013 Comsenz Inc.

快速回复 返回顶部 返回列表