统计211
标题:
中介效应及SPSS应用
[打印本页]
作者:
amoyzz
时间:
2016-4-14 09:58
标题:
中介效应及SPSS应用
一、中介效应分析概述
最近小编接触了“中介效应”,觉得它在很多领域都有应用哦。所以把自己的学习心得放上来,和大家一起分享~~~
中介效应广泛用于社会科学研究,如心理学,管理学和传播学等等。 中介变量存在于多种模型,如路径模型,SEM,纵向模型和多水平模型等。
二、中介效应分析的意义
中介变量是联系两个变量之间关系的纽带,在理论上,中介变量意味着某种内部机制。自变量X的变化引起中介变量M的变化,中介变量M的变化引起因变量Y的变化。
X——M——Y
中介变量是参与整个因果过程中的重要一环,不可或缺,正因为如此,中介效应分析的前提是变量间存在明确的(理论上或事实上的)因果关系,否则结果很难解释。
三、中介效应检验
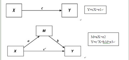
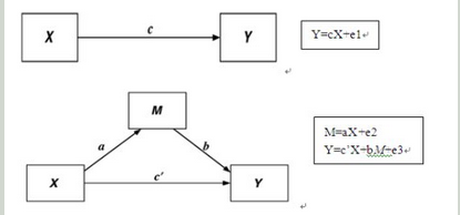
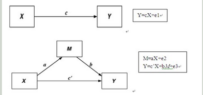
文献中存在多种中介效应检验的程序,下面以最简单的中介模型为例说明中介效应分析的思路。下图中,自变量X作用于因变量Y,路径系数c。一般情况下,只有当c显著或X与Y相关显著时才会考虑中介变量。下图是个单中介模型,a代表自变量X作用于中介变量M的效应,b表示中介变量M作用于因变量Y的效应,c’代表考虑或控制中介变量M后,自变量X作用于因变量Y的效应。我们称M为中介变量,而X通过M对Y产生的的间接影响称为中介效应。
图片1.png
(23.15 KB, 下载次数: 0)
2016-4-14 09:55 上传
点击文件名下载附件
以最简单的三变量为例,假设所有的变量都已经中心化,则中介关系可以用回归方程表示如下:
Y=cx+e 1)
M=ax+e2 2)
Y=c’x+bM+e3 3)
采用依次检验法。依次分别检验上述1)2)3)三个方程中的回归系数,程序如下:
首先检验方程1)y=cx+ e1,如果c显著(H0:c=0被拒绝),则继续检验方程2),如果c不显著,则停止中介效应检验;在c显著性检验通过后,继续检验方程2)M=ax+e2,如果a显著(H0:a=0被拒绝),则继续检验方程3);如果a不显著,则停止检验;在方程1)和2)都通过显著性检验后,检验方程3)即y=c’x + bM + e3,检验b的显著性,若b显著(H0:b=0被拒绝),则说明存在中介效应。此时检验c’,若c’显著,则说明是不完全中介效应;若不显著,则说明是完全中介效应,x对y的作用完全通过M来实现。
SPSS 软件过程如下:
图片2.png
(20.3 KB, 下载次数: 0)
2016-4-14 09:55 上传
点击文件名下载附件
图片3.png
(27.18 KB, 下载次数: 0)
2016-4-14 09:55 上传
点击文件名下载附件
图片4.png
(26.68 KB, 下载次数: 0)
2016-4-14 09:55 上传
点击文件名下载附件
图片5.png
(29.74 KB, 下载次数: 0)
2016-4-14 09:55 上传
点击文件名下载附件
M的P值<0.05,说明存在中介效应,X的P值也是小于0.05,M的中介效应是部分中介效应。
欢迎光临 统计211 (http://tj211.com/)
Powered by Discuz! X3.2