统计211
标题:
组距式分组下,众数怎么定义?
[打印本页]
作者:
Alex_China
时间:
2014-4-16 13:25
标题:
组距式分组下,众数怎么定义?
本帖最后由 Alex_China 于 2014-4-16 13:42 编辑
这个问题我想了好久,在图书馆翻了很多课本,问了老师,上了知乎,花了很多时间,都没有答案,请前辈能认真帮我解答,小弟虚心请教。
清华大学出版社 出版的 《统计学》 教材,主编:孙XX。P76页
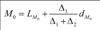
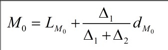
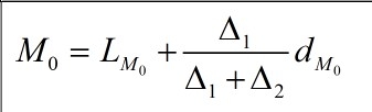
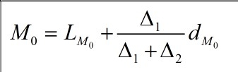
教材内容:在资料分组为组距数列时,先在组距数列中确定众数所在的组,然后再利用上下限公式计算众数。
下限公式:
QQ截图20140416131606.jpg
(7.04 KB, 下载次数: 0)
2014-4-16 13:16 上传
点击文件名下载附件
(上限公式类似我就不写了,下一个图片有。)
等式中:
1.jpg
(1.43 KB, 下载次数: 0)
2014-4-16 13:18 上传
点击文件名下载附件
为众数组下限;
2.jpg
(1.22 KB, 下载次数: 0)
2014-4-16 13:18 上传
点击文件名下载附件
为众数组次数与上一组次数之差;
3.jpg
(1.3 KB, 下载次数: 0)
2014-4-16 13:18 上传
点击文件名下载附件
为众数组次数与下一组次数之差;
4.jpg
(1.52 KB, 下载次数: 0)
2014-4-16 13:18 上传
点击文件名下载附件
为众数组的组距。
例题:
IMG_0038.JPG
(1.21 MB, 下载次数: 0)
2014-4-16 13:20 上传
点击文件名下载附件
问:在这种组距式分组条件下,众数的定义是怎么样的?
在例题中,10~20这个组是众数组,但是怎么能确定众数就在这个组里面呢?有可能20~30组中一个数字就出现20次啊。
还有,既然都能分组了,就肯定有原始数据,为什么不直接用计算机找众数,要通过这样的数学 方法来算一个估计值呢?
作者:
tjstar
时间:
2014-4-19 08:52
这主要是为了介绍方法,所以才不用计算机吧。
作者:
茯苓
时间:
2014-4-20 10:10
根据你提供的公式,其他组明显结果是负数,现实是不成立的。原始数据的问题,很可能统计数据者,并没有把具体的数值记下,只是在一个范围内,计数。以上的数据方式,也容易挖掘其潜在的信息。
这个只是练习题,也不是很难的那种,别纠结了。
作者:
Alex_China
时间:
2014-4-21 20:10
茯苓 发表于 2014-4-20 10:10
根据你提供的公式,其他组明显结果是负数,现实是不成立的。原始数据的问题,很可能统计数据者,并没有把具 ...
谢谢,明白了。
欢迎光临 统计211 (http://tj211.com/)
Powered by Discuz! X3.2