统计211

标题: 假设检验的一个问题求大家帮忙解决下 [打印本页]

作者: oylp1988    时间: 2011-9-23 15:36
标题: 假设检验的一个问题求大家帮忙解决下
本帖最后由 oylp1988 于 2011-9-23 22:36 编辑

有没有 什么方法可以验证一组数据在某种程度上分布在 一个比较小的 区间内?
实际情况是
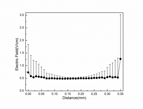
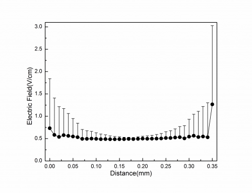
我有 一组数据 x 是 distance  y 是电场强度。 想在统计学上 验证这组数据分布在 y=0.5 左右. 希望能够计算出 相应的P值
下面有根据数据做的 x y 图。
EF plot update.jpg (338.49 KB, 下载次数: 0)

ps :  上图中 只考虑 那些黑点
作者: abc886y365hxg    时间: 2011-9-23 15:49
正态分布倒是可以用t检验比抽样样本和理论真值的差异。
电场强度似乎不是符合正态分布的吧!它是随着距离的增加而减小的,这个需要先知道其分布,然后再考虑构建统计量哦
作者: oylp1988    时间: 2011-9-23 21:55
abc886y365hxg 发表于 2011-9-23 15:49
正态分布倒是可以用t检验比抽样样本和理论真值的差异。
电场强度似乎不是符合正态分布的吧!它是随着距离的 ...

谢谢 版主 回复啊  额 忘记 给图了。。。
我这个情况是 电场强度不随距离变化,然后我要验证电场强度大概是等于0.5
作者: abc886y365hxg    时间: 2011-9-24 00:28
oylp1988 发表于 2011-9-23 21:55
谢谢 版主 回复啊  额 忘记 给图了。。。
我这个情况是 电场强度不随距离变化,然后我要验证电场强度大 ...

你首先还是得做正态检验;其次在符合正态分布的情况下,继续做单样本的T检验就行!OK?
作者: oylp1988    时间: 2011-9-24 06:50
abc886y365hxg 发表于 2011-9-24 00:28
你首先还是得做正态检验;其次在符合正态分布的情况下,继续做单样本的T检验就行!OK?

检验过 不是正态分布。   
我觉得我的问题就是  证明 我的数据分布在0.5 附近这 一观点具有统计学意义
作者: abc886y365hxg    时间: 2011-9-24 09:44
oylp1988 发表于 2011-9-24 06:50
检验过 不是正态分布。   
我觉得我的问题就是  证明 我的数据分布在0.5 附近这 一观点具有统计学意义

你这一说法就错了!
“证明 我的数据分布在0.5 附近这 一观点具有统计学意义”
因为你要做这个检验的话,原假设肯定是H0:数据分布在0.5   H1:拒绝H0
按你说的具有统计学意义的话,p<0.05,即拒绝原假设H0,接受H1,认为数据不是分布在0.5附近的
作者: oylp1988    时间: 2011-9-24 11:31
abc886y365hxg 发表于 2011-9-24 09:44
你这一说法就错了!
“证明 我的数据分布在0.5 附近这 一观点具有统计学意义”
因为你要做这个检验的话 ...

那请问这个假设的P 值怎么计算呢?
作者: oylp1988    时间: 2011-9-24 11:34
谢谢斑竹 耐心解答啊!~!~
作者: oylp1988    时间: 2011-9-24 11:34
谢谢斑竹 耐心解答啊!~!~
作者: yanrui012    时间: 2011-9-26 17:30
你的意思就是要检验一下这组数据的均值(正态)或者说中位数(非正态)是0.5,这样的话先确定分布类型,然后选择相应的检验方法就好!正态吗就是T检验了,非正态的话就选秩和检验!
作者: abc886y365hxg    时间: 2011-9-26 18:17
楼上是正解哈




欢迎光临 统计211 (http://tj211.com/) Powered by Discuz! X3.2